Skip to content Skip to sidebar Skip to footer

Widget HTML #1

How To Find The Infinite Sum Of A Geometric Series : Series and sum calculator with steps.

How To Find The Infinite Sum Of A Geometric Series : Series and sum calculator with steps.. A sum converges only when the terms get closer to 0 after each step, but that alone is not a sufficient criterion for convergence. It is assumed that the infinite series given in the problem is geometric since it has an indicated sum. When an infinite sum has a finite value, we say the sum converges. So, multiplying both sides by r, r s = a r + a r^2 + a r^3 + a r^4 +. 3/2=1+ x + x2 + x3 +⋯.

The sum to infinity of a geometric series is and the common ratio is determine the first term. The classical example is the series Select the correct choice below and, if necessary, fill in the answer box to complete your choice. A series is the sum of the terms of a sequence. The general form of the infinite geometric series is a 1 + a 1 r + a 1 r 2 + a 1 r 3 +., where a 1 is the first term and r is the common ratio.

Infinite Series
Infinite Series from www.mathsmutt.co.uk
We also discussed the derivation of the formula. It has no last term. In this case, multiplying the previous term in the sequence by 1 4 1 4 gives the next term. It has the first term (a1) and the common ratio (r). Infinite geometric series to find the sum of an infinite geometric series having ratios with an absolute value less than one, use the formula, s = a1 1 − r, where a1 is the first term and r is the common ratio. Find the sum of the infinite geometric series 1 , 1/4 , 1/16 , 1/64 , 1/256. A series is the sum of the terms of a sequence. We discuss how to find the sum of an infininte geometric series that converges in this free math video tutorial by mario's math tutoring.

In mathematics, the infinite geometric series gives the sum of the infinite geometric sequence.

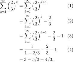
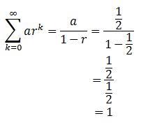
The formula for the sum of an infinite series is related to the formula for the sum of the first \displaystyle n n terms of a geometric series. This series is an infinite geometric series with first term 8 and ratio ¾. In the content of using sigma notation to represent finite geometric series, we used sigma notation to represent finite series. Determine whether the infinite geometric series converges or diverges. In mathematics, a geometric series is the sum of an infinite number of terms that have a constant ratio between successive terms. For this geometric series to converge, the absolute value of the ration has to be less than 1. Find the value of a1 by plugging in 1 for n. An infinite series is an expression of the form ∞ ∑ n = 1an = a1 + a2 + a3 + ⋯. This calculator will find the infinite sum of arithmetic, geometric, power, and binomial series, as well as the partial sum, with steps shown (if possible). In this case, multiplying the previous term in the sequence by 1 4 1 4 gives the next term. Repeating decimals also can be expressed as infinite sums. We have 0 < r < 1, so a general geometric series ∑ n = 0 ∞ a r n will converge to a 1 − r, but our a here is. Using the sum of an infinite geometric sequence, ex4.

Sum of an infinite geometric series. In this case, multiplying the previous term in the sequence by 1 4 1 4 gives the next term. 𝑆 = 𝑇 + 𝑇 𝑟 + 𝑇 𝑟 + 𝑇 𝑟 + ⋯ + 𝑇 𝑟. A geometric series is an infinite sum where the ratios of successive terms are equal to the same constant, called a ratio. S ∞ = a 1 − r.

Infinite Geometric Series Andymath Com
Infinite Geometric Series Andymath Com from andymath.com
Geometric sequences and sums sequence. When an infinite sum has a finite value, we say the sum converges. This calculator will find the infinite sum of arithmetic, geometric, power, and binomial series, as well as the partial sum, with steps shown (if possible). I can see that it's a geometric series and that has a straightforward solution, but i am not sure how to address the alternating signs with the greatest integer function. If the first term is a, then the series is s = a + a r + a r^2 + a r^3 +. I am not sure how to approach this infinite sum. The general form of the infinite geometric series is a 1 + a 1 r + a 1 r 2 + a 1 r 3 +., where a 1 is the first term and r is the common ratio. Infinite geometric series to find the sum of an infinite geometric series having ratios with an absolute value less than one, use the formula, s = a1 1 − r, where a1 is the first term and r is the common ratio.

To find a formula for the sum of the terms in an infinite geometric sequence, let's first consider the finite geometric series with first term 𝑇 and common ratio 𝑟 with 𝑛 terms:

Using the sum of an infinite geometric sequence, ex4. Also, find the sum of the series (as a function of x) for those values of x. This series is an infinite geometric series with first term 8 and ratio ¾. To find a formula for the sum of the terms in an infinite geometric sequence, let's first consider the finite geometric series with first term 𝑇 and common ratio 𝑟 with 𝑛 terms: I am not sure how to approach this infinite sum. If it converges, find its sum. S ∞ = a 1 − r. The general form of the infinite geometric series is a 1 + a 1 r + a 1 r 2 + a 1 r 3 +., where a 1 is the first term and r is the common ratio. This series would have no last term. What i want to do is another proof ii like thing to think about the sum of an infinite geometric series and it will use a very similar idea to what we use to find the sum of a finite geometric series so let's say i have a geometric series an infinite geometric series so we're going to start at k equals zero and we're going to go we're never going to stop we're going to go it's going all the. Therefore, we can find the sum of an infinite geometric series using the formula s = a 1 1 − r. The sum to infinity of a geometric sequence is 8 and the first term is 2, find the common ratio and the 5th term. Find the values of x for which the geometric series converges.

Repeating decimals also can be expressed as infinite sums. In the content of using sigma notation to represent finite geometric series, we used sigma notation to represent finite series. When the sum of an infinite geometric series exists, we can calculate the sum. The sum to infinity of a geometric sequence is 8 and the first term is 2, find the common ratio and the 5th term. To find r, you divide a2 by a1:

Geometric Series Sum To Infinity Examsolutions Youtube
Geometric Series Sum To Infinity Examsolutions Youtube from i.ytimg.com
It has no last term. Find the value of a1 by plugging in 1 for n. The sum to infinity of a geometric sequence is 8 and the first term is 2, find the common ratio and the 5th term. An infinite geometric series is the sum of an infinite geometric sequence. We can find the sum of all finite geometric series. If the common ratio of the infinite geometric series is more than 1, the number of terms in the sequence will get increased. Select the correct choice below and, if necessary, fill in the answer box to complete your choice. Infinite geometric series to find the sum of an infinite geometric series having ratios with an absolute value less than one, use the formula, s = a1 1 − r, where a1 is the first term and r is the common ratio.

To find r, you divide a2 by a1:

To find r, you divide a2 by a1: For this geometric series to converge, the absolute value of the ration has to be less than 1. We have 0 < r < 1, so a general geometric series ∑ n = 0 ∞ a r n will converge to a 1 − r, but our a here is. Find the values of x for which the geometric series converges.       The article includes the definition of geometric series, formula to find the sum of n terms of finite and infinite geometric series. The first term is a = 3 / 5, while each subsequent term is found by multiplying the previous term by the common ratio r = − 1 / 5. An infinite geometric series is the sum of an infinite geometric sequence. Sum of an infinite geometric series. We can find the sum of all finite geometric series. 𝑆 = 𝑇 + 𝑇 𝑟 + 𝑇 𝑟 + 𝑇 𝑟 + ⋯ + 𝑇 𝑟. Find the value of the sum. The trick is to find a way to have a repeating pattern, and then cancel it out.

So, multiplying both sides by r, r s = a r + a r^2 + a r^3 + a r^4 + how to find the sum of a series. We discuss how to find the sum of an infininte geometric series that converges in this free math video tutorial by mario's math tutoring.